1) Se tiene tres
cargas puntuales de 4 x 10-9 C, 4 x 10-9 C, – 4 x 10-9
C; ubicadas en el plano XY, en los puntos (-3;0) , (0; -3) ; (-3; -3) respectivamente (cuyas dimensiones de ubicación
están en metros). Determine el vector fuerza electrostática que ejercen sobre
una
carga de 2 x 10-9 C situada en origen de
coordenadas.
2) Se tiene tres cargas puntuales de 6 μC, 6 μC y – 6 μC; situadas en los vértices de un triángulo equilátero de lado 400 cm. ¿Cuál es la fuerza eléctrica ejercida sobre una carga de 10 μC situada en el incentro del triángulo?
Solución
3) Se tiene la siguiente configuración de
cargas en la siguiente figura:
a)
Determine el campo eléctrico y potencial eléctrico en
el punto medio de cada uno de los lados del triángulo.
b)
Halle el campo eléctrico en el baricentro del
triángulo.
Solución
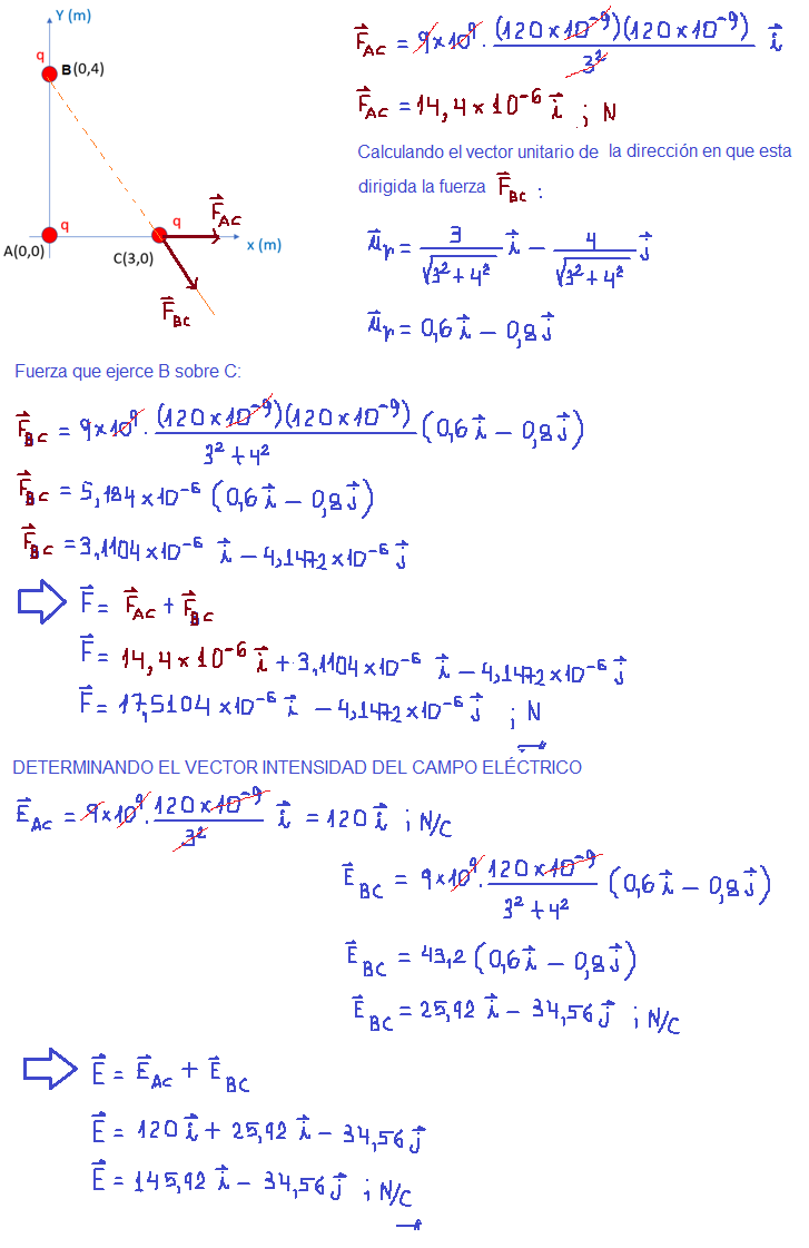
4) De la siguiente figura:
Determine
el vector fuerza eléctrica y el vector intensidad del campo eléctrico en el
punto C. Sabiendo que, q = 120 x10-9 C.
5) Determinar
el potencial eléctrico en el punto P de acuerdo a la distribución de cargas que
se muestra en la figura:








No hay comentarios:
Publicar un comentario
Deja tu comentario por favor.